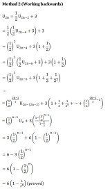
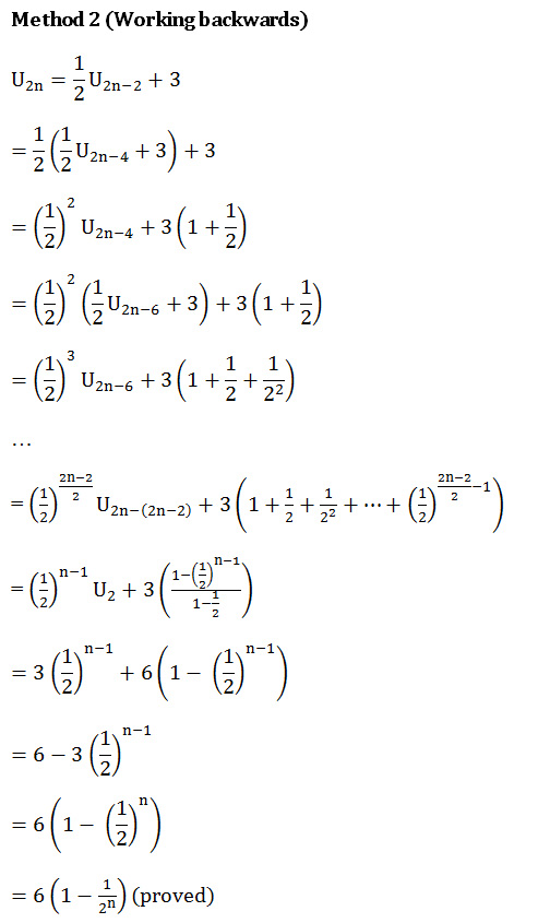
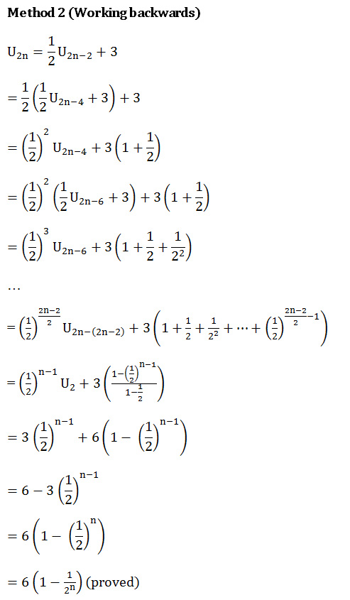
Previous ImageNext Image recurrence 2 Share this: Share on WhatsApp (Opens in new window) WhatsApp Share on Facebook (Opens in new window) Facebook Share on Telegram (Opens in new window) Telegram Share on X (Opens in new window) X Email a link to a friend (Opens in new window) Email Share on Reddit (Opens in new window) Reddit Like Loading...