Suppose we want to check whether our answers for the following is correct:

We can use our GC to check as follows:


Since both expressions give the same values, the answer is correct.
Suppose we want to check whether our answers for the following is correct:

We can use our GC to check as follows:


Since both expressions give the same values, the answer is correct.

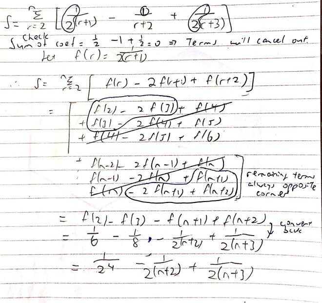
Tips: Write the terms using functions. For bottom rows, write from last row and then write the last 2nd row.

You must be logged in to post a comment.