
Argument of Real and Purely Imaginary Numbers



GC can be very helpful in solving certain problems in Complex Numbers.
Example 1
Use the GC to find the real value of k such that
has a complex root 1-i.
Solution
Since 1-i is a root,
Using TI 84 Plus (OS 2.55) to evaluate the complex numbers, we have
2+k = 0
k=-2
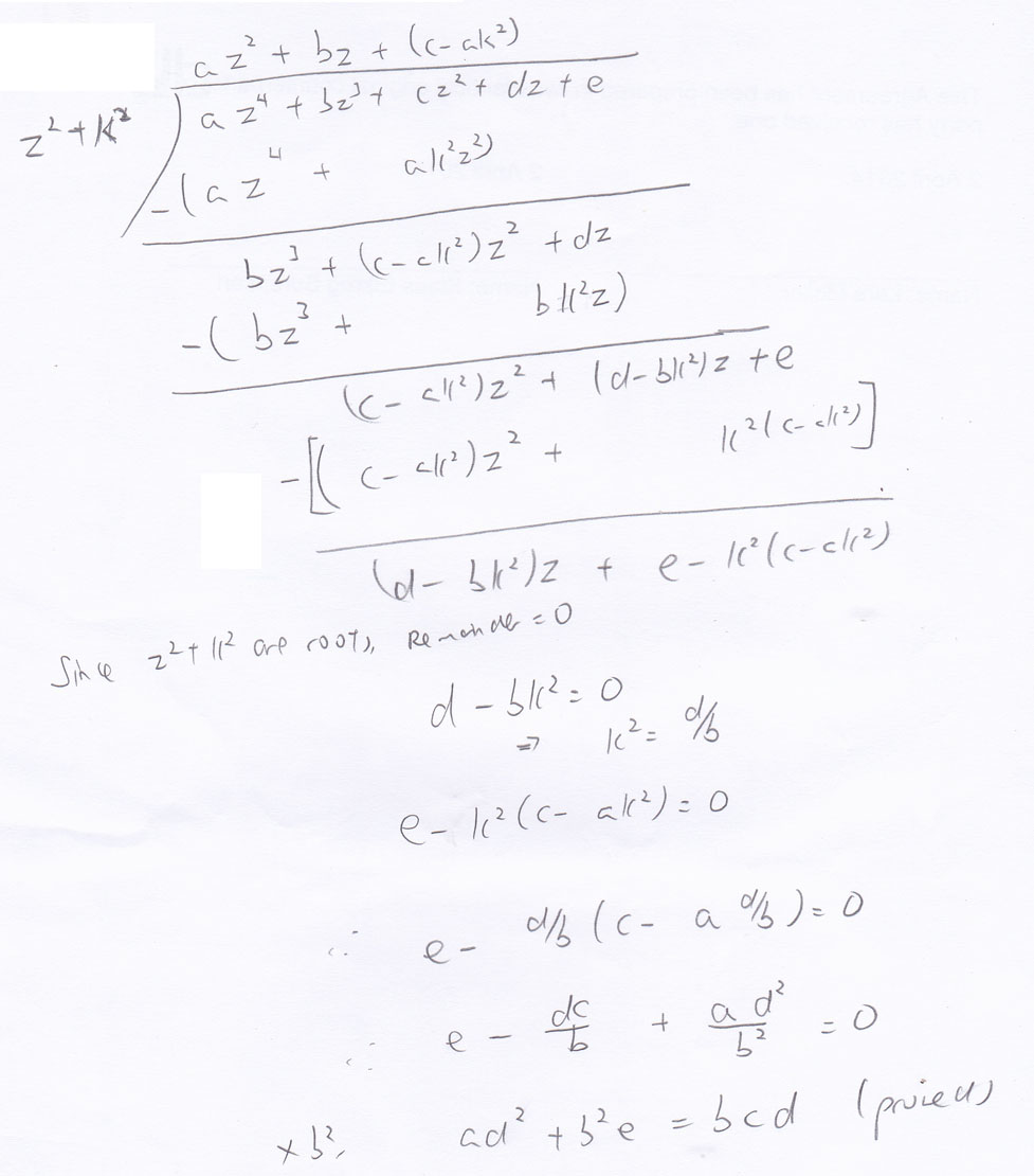
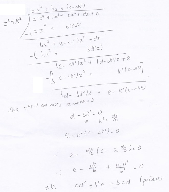
Example 2
Solution
Since the equation is quadratic, we can use the quadratic formula.
Using the GC to evaulate the above,
z = 1+2i or -7i
You must be logged in to post a comment.